Автор Тема: Мадэляваньне ўсталяваньня азотнага цыклу  (Прочитано 23228 раз)

0 Пользователей и 1 Гость просматривают эту тему.

Оффлайн kotok1980

  • Заслуженный оффтопер :)
  • Ветеран
  • Сообщений: 2806
  • Поблагодарили: 128
  • обследование зданий и сооружений. Пром.альпинизм
    • Просмотр профиля
Re: Мадэляваньне ўсталяваньня азотнага цыклу
« Ответ #15 : 07 Октября 2010, 07:57:55 »
если нет в сети численного описания- как вариант делать эксперименты самим. ( но это врятли будет оправдано по финансовым соображениям).
1- надо "экспериментальную" акву делать -с условным литражом  (например 1 литр) и пр. характеристиками (свет, температура...
2-концентрацию веществ дадут результаты тестов ( с определеной погрешностью).

проще взять действующую акву на стадии запуска - и правильно/постоянно делать тесты.

п.с. а вообще весь этот процесс длителен по времени. было бы проще оперировать цифрами и строить модель.

Віталь

  • Гость
Re: Мадэляваньне ўсталяваньня азотнага цыклу
« Ответ #16 : 07 Октября 2010, 09:10:00 »
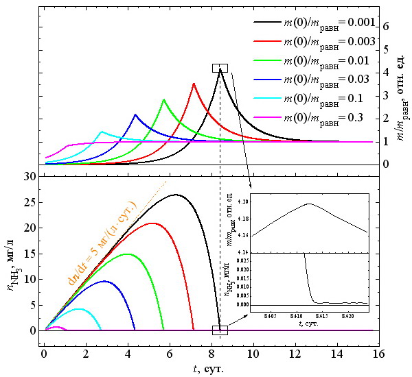
Ну, вось, самі вынікі. Рыхтуйце пытаньні, пакуль не маю часу пракаментаваць падрабязна, толькі коратка. Тут прадстаўлена серыя крывых, што адрозьніваюцца адна ад аднае пачатковаю біямасаю папуляцыі бактэрый: ад 0.1% да 30% ад біямасы, якая ўсталюецца пасьля прыходу сістэмы да роўнавагі. Вынікі якасна зразумелыя: чым меншая пачатковая біямаса бактэрый, тым больш да іх размнажэньня пасьпявае накапіцца амяку ў сістэме. Задача разьлічана для акварызма з тэмпам паступленьня аміяку ў 5 мг/л у суткі, што адпавядае вельмі нагружанаму акварыўму пры пераліку на нітраты гэта будзе каля 130 мг/л у тыдзень. Штотыднёвая падмена нават 50% ў гэтым выпадку не будзе ратаваць...



і тое ж самае ў лагарыфмічным маштабе* па восі канцэнтрацый/біямас:



* для даведкі: Лагарыфмічны маштаб восяў гэта такое ўяўленьне, дзе кожнае дзяленьне паказвае не НА колькі разглядаемая велічыня павялічваецца, а Ў колькі разоў. У дадзеным выпадку кожнае дзяленьне адпавядае зьмяненьню велічыні ў 10 разоў.

Белорусский клуб аквариумистов

Re: Мадэляваньне ўсталяваньня азотнага цыклу
« Ответ #16 : 07 Октября 2010, 09:10:00 »

Віталь

  • Гость
Re: Мадэляваньне ўсталяваньня азотнага цыклу
« Ответ #17 : 07 Октября 2010, 09:11:31 »
если нет в сети численного описания
Віця, ты што так і не зразумеў? Для "численного описания" я гэтую тэму і падняў. Я яго і раблю. :)

Віталь

  • Гость
Re: Мадэляваньне ўсталяваньня азотнага цыклу
« Ответ #18 : 15 Октября 2010, 12:12:18 »
Так, бачу, што народ не разумее. Гэта ладна, дык няўжо і не цікава? Вось, якую вытрымку можна атрымаць з вышэй прыведзеных вынікаў:



На дадзеным графіку паказана, як максімальная канцэнтрацыя аміяку (вось OY), якая ўзьнікне ў дадзенай сістэме да ўсталяваньня раўнавагі, залежыць ад першапачатковай біямасы бактэрый-нітрыфікатараў, сьпецыялізуючыхся на акісьленьні аміяку/амонію (вось ОХ). Бачым, што калі пры старце ў нас ужо маецца 30% бактэрый ад той іх колькасьці, якая ў гэтым акварыўме ўсталюецца пасьля прыходу сістэмы да роўнавагі, то скачок аміяку будзе да каля 0.8 мг/л - умоўна бясьпечная канцэнтрацыя (бо гэта на дастаткова кароткі час), але калі мы маем толькі 10%, то чакайце бяды, бо аміяк падскочыць амаль да 5 мг/л. Далей - болей. Тое ж самае пры ўжываньні лекаў. Калі лекі забілі 70% бактэрый - ня страшна, калі болей - есьць небясьпека. 


Віталь

  • Гость
Re: Мадэляваньне ўсталяваньня азотнага цыклу
« Ответ #19 : 15 Октября 2010, 12:16:09 »
Устаўка на першым малюнку ў паведамленьні ад 07.10 паказвае, што атрыманыя залежнасьці гладкія (ня маюць рэзкіх зломаў). Як мы ведаем, прырода не любіць такіх рэзкіх залежнасьцяў. Я гэтым паказаў, што мая мадэль іх і не дае. Усе крывыя матэматычна гладкія.

Оффлайн kotok1980

  • Заслуженный оффтопер :)
  • Ветеран
  • Сообщений: 2806
  • Поблагодарили: 128
  • обследование зданий и сооружений. Пром.альпинизм
    • Просмотр профиля
Re: Мадэляваньне ўсталяваньня азотнага цыклу
« Ответ #20 : 15 Октября 2010, 12:30:10 »
Виталь, ты показал систему "резкий старт".
исходные данные можно было бы выделить.
"старт"30% воды с бактериями + 70% свежей воды......+"заселение"/проживание аквы с интенсивным кормлением.)

Но мы так быстро не запускаем аквариумы. (пресноводные- неделя,морские - пара месяцев).
при этом нужно менять начальные условия (убирать кормление) и делать временную растяжку болеше по времени.

Віталь

  • Гость
Re: Мадэляваньне ўсталяваньня азотнага цыклу
« Ответ #21 : 15 Октября 2010, 13:12:40 »
Віця, дзякую за пытаньне/заўвагу. Я у далейшым пакажу, што будзе, калі трымаць акварыўм без падачы аміяку два тыдні ці месяц. У прынцыпе самыя кемлівыя ўжо і так могуць зрабіць прагноз.

Зараз пра ваду. Нітрыфікатары жывуць не ў вадзе, таму дадаваньне акварыўмнай вады дасьць у сістэму толькі культуру бактэрый, а не біямасу. Бось грунт з абжытага акваса ці губка з фільтра - гэтыя дадаткі дадуць ужо адзінкі -дзесяткі працэнтаў, ад таго, што ў нашым акварыўме будзе жыць пасьля ўсталяваньня раўнавагі.

Я пракаментаваў, што гэтая мадэль адлюстроўвае ня толькі працэсы пасьля запуску, але і, напрыклад, пасьля пралечкі антыбіётыкамі.

Оффлайн kotok1980

  • Заслуженный оффтопер :)
  • Ветеран
  • Сообщений: 2806
  • Поблагодарили: 128
  • обследование зданий и сооружений. Пром.альпинизм
    • Просмотр профиля
Re: Мадэляваньне ўсталяваньня азотнага цыклу
« Ответ #22 : 15 Октября 2010, 15:33:40 »
Виталь, я бы тех кого лечить - отсаживал бы отдельно, а не проводил химиотерапию в общей банке.

Андрей

  • Гость
Re: Мадэляваньне ўсталяваньня азотнага цыклу
« Ответ #23 : 15 Октября 2010, 20:01:56 »
Виталь, вопросец есть на тему бактеров...Я вот никогда не мог понять. Например мы кинем в воду еды для бактерий, ну ацетата какого...Через сутки бактерии расплодятся в огромных количествах так, что вода станет мутной. Т.е. плодятся бактеры как дафнии без лимитирующих факторов))). Так какого черта при появлении еды-аммония не происходит всплеска бактерий и аммоний не выжирается в течение первых часов, а эти паразиты-бактерии вдруг начинают планировать рождаемость и ограничивать количество детей до трех на семью. :D Еды валом, кислорода хватает, чего они тормозят неделями? Весь этот цикл должен по идее установится за день-два, но не месяц. В чем прикол?

Андрей

  • Гость
Re: Мадэляваньне ўсталяваньня азотнага цыклу
« Ответ #24 : 15 Октября 2010, 20:54:48 »
Что будет если держать аквариум месяц без подачи аммиака? Думаю бактерии сдохнут от голода напрочь и при внесении аммония будет их начальная популяция равна нулю, стало быть всплеск будет по полной и вся засеенная живность даст дуба....

Віталь

  • Гость
Re: Мадэляваньне ўсталяваньня азотнага цыклу
« Ответ #25 : 15 Октября 2010, 20:56:18 »
Цитировать
Виталь, вопросец есть на тему бактеров...Я вот никогда не мог понять. Например мы кинем в воду еды для бактерий, ну ацетата какого...Через сутки бактерии расплодятся в огромных количествах так, что вода станет мутной. Т.е. плодятся бактеры как дафнии без лимитирующих факторов))). Так какого черта при появлении еды-аммония не происходит всплеска бактерий и аммоний не выжирается в течение первых часов, а эти паразиты-бактерии вдруг начинают планировать рождаемость и ограничивать количество детей до трех на семью. Веселый  Еды валом, кислорода хватает, чего они тормозят неделями? Весь этот цикл должен по идее установится за день-два, но не месяц. В чем прикол?
У асаблівасьці іх жыцьцёвага цыклу. Ну, прыродаю так закладзена. Можна і так сказаць, што тыя, якія так хутка размнажаліся, як ты пішаш, вымерлі. Для даведкі: дэнітрыфікатары яшчэ павольней размнажаюцца...

Андрей

  • Гость
Re: Мадэляваньне ўсталяваньня азотнага цыклу
« Ответ #26 : 15 Октября 2010, 20:58:59 »
Виталь, тут есть какая-то фишка. Не бывает медленноплодящихся бактерий. Очевидно есть лимитирующий фактор. Если его выщемить и нейтрализовать-можно сделать турбозапуск с моментальным установлением цикла в течение двух дней, а не месяца... Это мысля такая...

Віталь

  • Гость
Re: Мадэляваньне ўсталяваньня азотнага цыклу
« Ответ #27 : 15 Октября 2010, 21:05:07 »
Что будет если держать аквариум месяц без подачи аммиака? Думаю бактерии сдохнут от голода напрочь и при внесении аммония будет их начальная популяция равна нулю, стало быть всплеск будет по полной и вся засеенная живность даст дуба....
Абсалютна верна. Мадэль мая пакажа менавіта гэта. Аднак, на практыцы нітрыфікатары, думаю, маюць нейкі механізм хавацца ў цысты да лепшых часоў, вымерці ўсе яны не павінны. Але і расьці іх папуляцыі ніякага стымулу няма, гэта проста страчаны час у справе ўсталяваньня раўнавагі. Мая апрыёрная рэкаментдацыя пры запуску акварыўма бухнуць нашатырнага сьпірту ў пераразьліку на аміяк да канцэнтрацыі 10 мг/л. Як толькі тэсты пакажуць 0 па аміяку, можна запускаць рыб, аміяк ужо не паднімецца. Калі я разаўю мадэль да нітрытаў, трэба будзе глянуць, што там адбываецца зь імі, затым нітраты, далей я дадам у сістэму расьліны... будзе цікава... :)  


Андрей

  • Гость
Re: Мадэляваньне ўсталяваньня азотнага цыклу
« Ответ #28 : 15 Октября 2010, 21:09:46 »
Вопрос. Внесение разовой дозы аммония даст вспышку роста бактерий, они выжрут аммоний до нуля и большинство из них тупо сдохнет от голода. При посадке живности вновь поступает аммоний, а бактеры уже дали дуба. Мысля-поступление аммония должно быть постоянным в небольших дозах до запуска рыб-естественного источника аммония. Аммоний в системе должен поступать всегда. Тогда популяция бактерий вечно жива и готова к труду.

Віталь

  • Гость
Re: Мадэляваньне ўсталяваньня азотнага цыклу
« Ответ #29 : 15 Октября 2010, 21:13:34 »
Виталь, тут есть какая-то фишка. Не бывает медленноплодящихся бактерий. Очевидно есть лимитирующий фактор. Если его выщемить и нейтрализовать-можно сделать турбозапуск с моментальным установлением цикла в течение двух дней, а не месяца... Это мысля такая...
Не, у іх такая стратэгія выжываньня, не рэагаваць сіюхвілінна на з'явіўшуюся ежу (а раптам яна хутка зьнікне?).